Kad si Alija Budnjo jači si i od zakona - Kako tranzicijski tajkun godinama manipuliše vodom za svoje hotele
Kad je prije dvadesetak godina tadašnji federalni ministar za izbjegla i raseljena lica Sulejman Garib odlučio pomoći prijeratnom električaru Aliji Budnji na način da ovlasti njegovu firmu Kuvet kao glavnog dobavljača građevinskog materijala za obnovu srušenih kuća za povratnike, ni slutio nije da će on postati jedan od najmoćnijih ljudi u BiH.
Uposlenici Javnog komunalnog preduzeća Vodovod i kanalizacija tokom kontrole u februaru ove godine u objektu Hotel Terme na adresi Hrasnička cesta br. 14, koji je u vlasništvu Alije Budnje, ustanovili su da u objektu postoji dvojni sistem vodosnabdijevanja.
Kako se navodi u izvještaju, “dva metra poslije vodomjernog šahta postoji drugi šaht u kojem postoje vodovodne cijevi sa račvanjem i zatvaračima pomoću kojih je omogućeno da se u objektu u istim unutrašnjim instalacijama naizmjenično koristi voda iz sistema javnog vodosnabdjevanja i voda iz privatnog bunara”.


Foto: Faksimil izvještaja o dvojnom vodosnabdijevanju Hotela “Terme”
Uposlenik hotela je izjavio da se „u objektu za potrebe kuhinje i šanka koristi voda iz bunara, a po potrebi i voda iz sistema javnog vodosnabdijevanja, dok se za ostale potrebe u hotelu koristi isključivo voda iz bunara”.
KAKO “NESTAJE” VODA
Osim što je zakonom zabranjeno korištenje voda iz bunara istom vodovodnom infrastrukturom kojom se distribuira voda iz centralnog vodovodnog sistema, zbog mogućnosti kontaminacije, tadašnja kontrola otkrila je i nelogičnosti u količini potrošene vode iz centralnog vodovodnog sistema. Bila je premala za toliki hotelski kompleks.

Foto: Hotel “Terme”
“Do novembra 2018. utvrđeno je da je registrovana prosječna mjesečna potrošnja iznosila 3.000 kubnih metara, a nakon toga je primijećeno drastično smanjenje potrošnje vode na vodomjerima instaliranim u Hotelu Terme i iz mjeseca u mjesec je bivalo manje”, kazao je kantonalni ministar komunalne privrede i infrastrukture Srđan Mandić na pressici povodom otkrivenih malverzacija u javnom komunalnim preduzećima prije mjesec dana.
U februarskoj kontroli, kada je utvrđeno da Hotel Terme ima dvojni sistem vodosnabdijevanja, ustanovljena je bušotina i dva rezervoara kapaciteta 20×20 kubnih metara, te da se u njih tenkuje voda iz rezervoara i snabdijeva hotel.
Iz Hotela Ilidža navode da su bili prinuđeni na alternativna rješenja “jer im je u nekoliko navrata voda isključivana radi manipulacija”.
“To rješenje nije bilo protuzakonito. Naprotiv, Hoteli Ilidža su obezbijedili pravosnažnu urbanističku saglasnost, izvedbene projekte, elaborate i svu drugu neophodnu dokumentaciju u cilju korištenja podzemnih pitkih voda”, tvrde iz hotela.
Ipak, Budnju, koji je poslovno carstvo izgradio uz političku podršku SDA, nisu mnogo brinula isključenja s mreže. On bi, kršeći sve zakone i propise, naprosto sebi odvrnuo vodu.


Foto: Faksimil dokumenta o utvrđivanju neovlaštenje potrošnje vode
Međutim, u jednoj od narednih kontrola, a zbog sumnje u manipulacije koje su potkrijepljene nesrazmjerom izmjerene potrošnje ovog hotelskog kompleksa i gubitka vode na tom lokalitetu, uzeti su uzorci iz bazena, česmi, spa prostora, soba, šanka… I poslani u analizu.
“Analizom uzoraka iz rezervoara utvrđeno je da se radi o vodi iz našeg sistema, dok je osoblje tvrdilo da je u rezervoarima iz bušotine na koju plaćaju koncesiju”, navedeno je u izvještaju.
Prostom računicom cijene kubika vode, koja za potrošača kao što su ovi hoteli približno iznosi 1,95 KM, odnosno množenjem sa 89 kubika, koliko dnevno “nestaje” na tom lokalitetu, dobijamo oko 174 KM, što je oko 5.200 KM mjesečno. Godišnje je to oko 62.400 te u samo pet (gladnih) godina dobijamo iznos od nevjerovatnih 312.000 KM.
I to je puzla u mozaiku kojem nedostaju i fakture za termalnu vodu koju, prema tvrdnjama bivših zvaničnika Kantona Sarajevo, godinama ne plaća.
KUVET PA LABUD
Manipulacije s vodom su primjer, modus operandi, kako da državni novac završi u džepu pojedinca koji ima političku podršku.
Kada je prije dvadesetak godina tadašnji federalni ministar za izbjegla i raseljena lica Sulejman Garib odlučio pomoći prijeratnom električaru Aliji Budnji, na način da ovlasti njegovu firmu Kuvet kao glavnog dobavljača građevinskog materijala za obnovu srušenih kuća za povratnike, sigurno ni slutio nije da će on nekoliko godina kasnije postati jedan od najmoćnijih ljudi u BiH.
Zanimljivo je da je firma Kuvet d.o.o. registrovana 1994. godine. U vrijeme kada je bjesnio rat u BiH, firmi je namijenjen posao distribucije građevinskog materijala.

Mediji su tada pisali da je Budnjo prvi profit stekao na povratničkoj muci, knjižeći materijal koji nije isporučivao, te kako je za 1,8 miliona KM u certifikatima kupio gotovo pola Ilidže (periferne sarajevske općine, op.a.).
Obespravljeni radnici kompleksa Hotela Ilidža, njih 358, 2010. godine tražili su pravdu na Općinskom sudu u Sarajevu. Zahtijevali su vraćanje pet hotela i ogromnog banjsko-rekreativnog kompleksa, jer je ovaj kompleks pretvoren u dioničko društvo prije rata što je, prema njihovim navodima, Agencija za privatizaciju u Kantonu Sarajevo zanemarila.
Za to vrijeme Kuvet d.o.o je i dalje pobjeđivao na tenderima, pa specijalizirani poslovni portal Akta u 2007. bilježi:
“Posljedni posao koji je je dobio Kuvet d.o.o je kao pobjednik tendera za isporuku građevinskog materijala za KJKP Park, KJKP Rad te Općinu Ilidža..”
Prije desetak godina, a mimo Zakona o javnim nabavkama BiH, Zavod zdravstvenog osiguranja (ZZO) Kantona Sarajevo sklopio je ugovor o slanju pacijenata o trošku države na tretman kod privatnika Alije Budnje. Hoteli Ilidža, odnosno Hotel Terme po tom osnovu su priskrbili stotine hiljada maraka profita iz javnog fonda.
Deset godina je prošlo i otkako je Vlada Kantona Sarajevo donijela Odluku o rušenju bespravno izgrađenog restorana Labud na Vrelu Bosne, koji je u Budnjinom vlasništvu.

Foto: Restoran “Labud”
Labud je iznikao iz Kuveta, a predhodio carstvu hotelsko-banjskog kompleksa Ilidža čija je vrijednost u vrijeme prodaje iznosila oko 28 miliona maraka.
Zbog tako ekspresnog bogaćenja zanemarivale su se odluke vlade, kršili zakoni, uništavala priroda.
SVE UZ PODRŠKU SDA
U Zaključku Vlade KS sa 13. sjednice iz aprila 2009. godine se navodi da restoran Labud i septička jama za objekat “predstavljaju ekološki incident najvećeg stepena koji ugrožava zdravlje građana Sarajeva i uništava izuzetno vrijedno prirodno bogatstvo, vodne resurse i sve druge eko potencijale i dovodi do degradacije zaštićenog područja Vrela Bosne”.
Naloženo je resornim ministarstvima, javnim preduzećima i policiji da “poduzmu aktivnosti i područje Spomenika prirode ‘Vrelo Bosne’ stave pod zaštitu i osiguraju očuvanje ispravnosti vode i drugih sadržaja ovog zaštićenog područja”.
Međutim, ništa od toga se nije desilo, osim što se carstvo nastavilo razvijati, uz neskrivenu političku pomoć Stranke demokratske akcije (SDA).


Foto: “Svečanu vrpcu” prilikom otvaranje renoviranih hotela Austrija i Bosna u maju prošle godine presjekli Bakir Izetbegović i Denis Zvizdić
Budnjin finansijski i politički utjecaj se reflektuje i na javna preduzeća.
U slučaju manipulacija s vodom, KJKP Vodovod i kanalizacija je poslalo zahtjev prema Kantonalnoj službi za inspekcijske poslove za postupanje po nalazu “o postojanju uporednog sistema vodosnabdijevanja iz centralnog vodovoda i iz posebnog vodovoda, te naizmjenične upotrebe vode iz centralnog vodovoda i vode iz posebnog vodovoda (privatnog bunara), kroz iste unutrašnje instalacije”, za što su se u prvo vrijeme proglasili nenadležnim. Potpuno neosnovano.



Foto: Faksimil izvještaja o inspekcijskom nadzoru
Uslijedila je žalba..


Foto: Faksimil žalbe VIK-a zbog povrede parničnog postupka
Naravno drugostepeni organ nije tako mislio.



Foto: Faksimil Rješenja kojim se poništava Zaključak komunalnog inspektora
Sve navode o manipulacijama sa vodom uprava Hoteli Ilidža su odbacili. Naveli su da su, “za razliku od ‘Vodovoda i kanalizacije’, Hoteli Ilidža uložil značajna sredstva u vlastitu vodovodnu infrastrukturu, a posebno u postrojenja i opremu za hlorizaciju vode”.
BUDNJO PRIJETIO KONTROLORIMA
“’Vodovod i kanalizacija’ je primitivnom metodom analize utvrdio da voda koju koriste Hoteli Ilidža sadrži hlor, i na osnovu toga izveo zaključak da se radi o vodi iz centralnog sistema vodosnabdijevanja”, saopšteno je.
U istom saopštenju se navodi i da su “lažni navodi da je u toku 2018. bilo ko iz ‘Vodovoda i kanalizacije’ dolazio i pokušavao kontrolisati vodovodne instalacije i sistem napajanja. Tek 2019. godine, tačnije nakon što je Elmedin Konaković izabran za predsjedavajućeg Skupštine Kantona Sarajevo, predstavnici ‘Vodovoda i kanalizacije’ su počeli dolaziti u kontrole”.
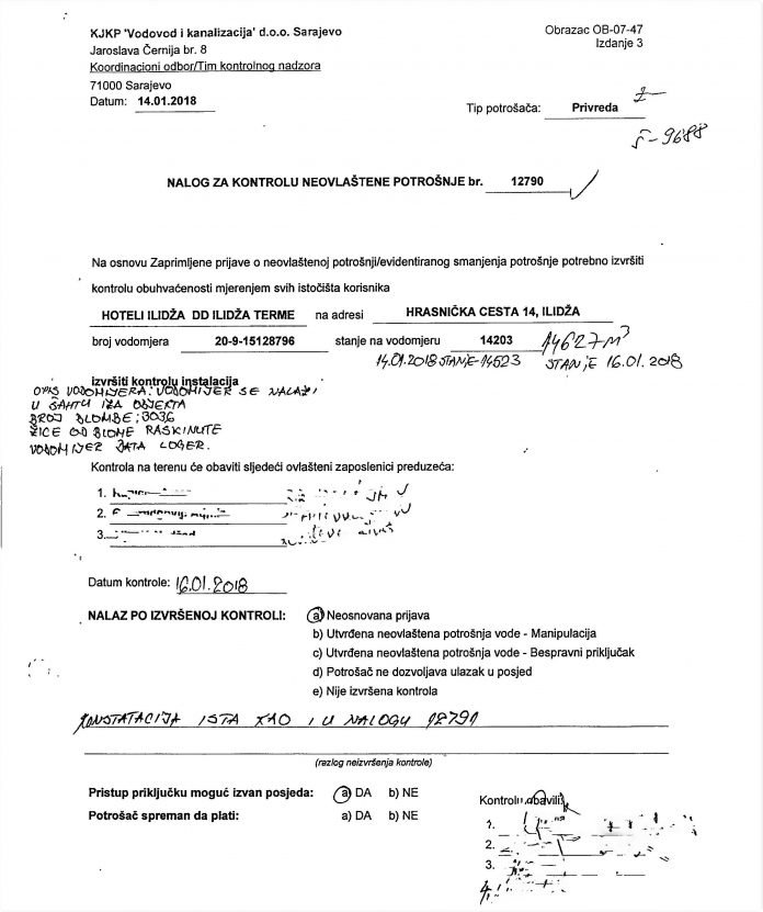
Međutim, dokument koji je u našem posjedu govori drugačije. Osim što je kontrola dolazila u ovaj hotelski kompleks, u januaru 2018. našla je raskinute plombe.


Foto: Faksimil izvještaja o izvršenoj kontroli kojoj je potvrđena neovlaštena potrošnja vode
I u narednim izvještajima se navodi kako je “kontrolu prekinuo vlasnik hotela prijeteći radnicima, čak i smrću”! Slučaj je prijavljen nadležnoj inspekciji.


Foto: Faksimil izvještaja o kontroli kojim su potvrđeni i verbalni napadi na kontrolore, čak i prijetnje smrću
Iako je svim tranzicijskim tajkunima zajedničko sumnjivo sticanje osnovog kapitala, namješteni tenderi, skretanje tokova javnog novca prema njihovim privatnim firmama (nekima i skretanje tokova rijeka prema njihovim dvorcima), mnogi se, nakon što steknu određeno bogatstvo, trude poslove voditi legalno i zadržati postojeće stanje.
Jedan od takvih je i Alija Budnjo.
* Tekst je proizveden u okviru medijskog pool-a Mreže ACCOUNT (Antikorupcijska mreža organizacija civilnog društva)
Piše: Istraživački tim Inforadara
Izvor: https://inforadar.ba


